PRODUCTS

製品情報

機能材料

機能材料とは

当社が持つ機能材料は、ポリエチレングリコールモノフェニルエーテル、プロピレングリコール-モノ-2-エチルヘキサノエート、ポリ(2-ヒドロキシプロピルジメチルアンモニウムクロリド)が代表として挙げられます。

特徴/用途

“ポリエチレングリコールモノフェニルエーテル”“プロピレングリコール-モノ-2-エチルヘキサノエート”は、酢酸ビエマルジョンの造膜助剤として使用され、低温での接着性改善が改善されます。

ポリ(2-ヒドロキシプロピルジメチルアンモニウムクロリド)はカチオン性のポリマーであり、紙、繊維、フィルム、フィラー表面をカチオン化させる機能を持ち、インク定着剤の用途等で用いられております。

当社のカチオン性ポリマーは、上記物質以外に特徴のある製品を取り揃えております、詳しくは開発品紹介を参照ください。

製品紹介

製品名

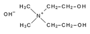
AH212-EL

化学名 ジメチルビス(2-ヒドロキシエチル)アンモニウムヒドロキシド
用途 アルカリ系洗浄剤原料
製品資料

製品名

AH112-EL

化学名 メチルトリス(2-ヒドロキシエチル)アンモニウムヒドロキシド
用途 アルカリ系洗浄剤原料
製品資料

製品名

YG-15

化学名 ポリオキシエチレンモノフェニルエーテル
用途 可塑剤、エマルジョン造膜助剤、溶剤、アクリレート原料
製品資料

※構造式は主成分であり、実際には混合グリコールエーテルです。

製品名

Y-PE

化学名 ポリオキシエチレンモノフェニルエーテル
用途 可塑剤、エマルジョン造膜助剤、溶剤、アクリレート原料
製品資料

※構造式は主成分であり、実際には混合グリコールエーテルです。

製品名

ワイジノール®EHP-01

化学名 プロピレングリコール-モノ-2-エチルヘキサノエート
用途 可塑剤、エマルジョン造膜助剤
製品資料

MW : 202.3

製品名

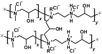
カチオマスター®PDシリーズ

化学名 ポリ-2-ヒドロキシプロピルジメチルアンモニウムクロリド
用途 製紙薬剤、繊維用薬剤、水処理用凝結剤
製品資料

MW : 1,000~10,000

製品名

カチオマスター®PE-30

化学名 ジメチルアミン・エチレンジアミン・エピクロルヒドリン縮合物
用途 製紙薬剤、繊維用薬剤、水処理用凝結剤
製品資料

Mw:9,000

製品名

EPA-SK01

化学名 ポリアミドポリアミン-エピクロロヒドリン縮合物
用途 繊維用薬剤、金属表面処理剤、凝結・凝集剤
製品資料

製品名

PAE-01

化学名 ポリアミドポリアミン・エチレンオキシド付加ポリマー
用途 製紙薬剤、金属表面処理剤
製品資料

Mw:3,000